
MathType
数学公式编辑器,支持LaTeX和MathML,可用于编写科技论文、制作教学课件等
版 本:7.6.0.156
软件大小:40.30 MB
授权类型:国产
收费类型:收费
软件语言:英文
应用平台:WinAll
更新时间:2023-11-06
MathType是一款功能强大且易于使用的电脑软件,专为数学和科学领域设计。它具有直观的界面和丰富的符号库,可以帮助用户轻松创建数学方程、公式和符号,无论是在文档中还是在演示文稿中。MathType支持多种输入方式,包括手写输入和键盘输入,可与主流文字处理软件无缝集成,例如Microsoft Word和Google Docs。MathType还有高级的排版和格式化选项,使得用户能够精确控制数学内容的外观和风格。无论您是学生、教育工作者还是科研人员,MathType都是您不可或缺的数学编辑器和公式生成工具。
软件服务
1. Mathtype 6.9较6.8版本有了较多优化;
2.支持数字手写识别,支持更多的数学符号和字体;
3. 与Microsoft Office 2013和Office 365相兼容,兼容800+软件应用程序和网站,其中新增114+种与MathType兼容工作;
4.MathPage支持MathJax技术,可利用MathPage技术选择发布您的Word文档与MathML方程,显示为Web页面;
5.增加了更多保存格式;
6.新增兼容Windows 8和OS X Yosemite最新操作系统。
安装要点
1、客户可以选择免费试用MathType30天,后点一下下一步

2、为MathType选择适合的安装部位开展安装

3、安装時间不长耐心等待就可以

安装总结:最先在本网站免费下载好MathType的软件安装包,缓解压力后开启exe文件,进到安装指导。依据显示按流程开展安装,可选择30天使用或键入密匙开展开启。安装时可选择默认设置安装部位安装,还可以自定安装部位。启用好相对的快捷方式图标后,进到安装程序流程,稍加等候后就可以安装进行,尊享这款软件。
软件亮点
1、MathType支持手写输入公式,智能识别手写内容,轻触鼠标编写即可完成
2、学生、老师、理科专业工作者,理科生专用的必备工具,应用于教育教学、科研机构、工程学、论文写作、期刊排版、编辑理科试卷等领域
3、MathType数学公式编辑器支持一键转换为Latex、Amslatex等代码,只需适当的修改就完成公式的编辑任务
4、MathType与Office有很好的兼容性,支持各版本的Office软件
5、MathType支持一键转换为Latex、Amslatex等代码,并提供常用数学公式和物理公式模板,只需单击一次,这个公式便跃然纸上
6、多服务平台支持,MathType支持在一切文本编辑软件、演试程序流程、网页页面程序流程、HTML编辑专用工具以及它种类的软件,用于创建公式
更新详情
1、完美兼容Windows 10操作系统;
2、可在Office2016、Office 365上运行;
3、新增兼容800+软件应用程序和网站;
4、其中的MathPage支持MathJax技术;
5、MathType支持数学手写识别;
6、新增支持更多数学符号和字体;
7、增加更多保存格式。
使用指南
1、开启Word 2003,点击“插进”菜单栏中的“目标”指令。

2、开启“目标”提示框,在“新创建”菜单栏下的目标种类目录中选择“Microsoft 公式 3.0”新项目,点击“明确”按键。

3、进到MathType公式编辑器对话框,在“公式”菜单栏选择适合的数字符号。

4、在MathType的公式输入框中输入实际标值,随后选定标值,先后点击工具栏中的“规格”——“别的”指令。

5、开启“别的规格”的提示框,在规格输入框中输入适合的标值规格,点击“明确”按键。

6、最终点击编辑对话框之外的留白地区,回到Word 文本文档的页面,大家就能见到公式以图像的方法插进到Word 文本文档中。

MathType有关问题
怎样在word中置入MathType?
最先,安装office和MathType软件,并可以寻找安装文档所在之处。假如早已安装,寻找安装详细地址就可以。
寻找MathType安装详细地址下的office support文件夹名称,随后选择相匹配的32位或是64位文件夹名称,寻找文档“MathType Commands 6 For Word 2010/2013"。对于选择2010或2013要根据安装的office版本号。
寻找office的安装详细地址,随后依照图例寻找STARTUP文件夹名称,将流程2中提及的文档拷贝到这一文件夹名称中,那样开启word就可以见到MathType早已置入菜单栏里了。

MathType和LaTeX的比照
MathType关键依附于在office中,主要是在word中编辑公式较为便捷;LaTex具备word的作用,可以编辑文字,也可以编辑公式,编辑出去的页面较为美观大方。总体来说MathType是一个数学课公式编辑器,而LaTex则是一个文字编辑器。
MathType眼见为实,这也是优点。自然,与其他全部 WYSIWYG 软件一样,正是因为这类优点,促使许多人工合成出去的公式实际上不标准。

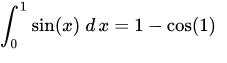
对LaTeX 英语的语法来讲没所说,次序键入就可以了,但针对MathType,因为模板-占位符和嵌入的效用,你需要时时刻刻留意,例如上边的案例中,sin(x) dx 是在積分模板的这个圈圈里的,但等于号并不是。一方面,一定要了解这些键盘快捷键。另一方面,提议开启 `Show Nesting` 电源开关,便捷看得出嵌入关联。但是LaTeX中有利于记忆力而减缩英语单词设计方案出的 LaTeX 数学课指令,对我国客户等同于一个压力。
问题答案
MathType怎么打空格?
在MathType中想键入空格,同时需要按住Shift和Ctrl,再敲空格才能实现。
MathType怎么装到Word中?
一般情况下在我们电脑已经安装了office软件的情况下,根据上述MathType安装教程进行安装后就会自动添加到WORD工具栏中了,如果没有可看手动添加。
1、启动WORD软件,然后点击文件菜单点击选项。

2、打开WORD选项,在左侧找到加载项。点击界面下方管理中的“模版”选项。

3、再点击右下方的转到按钮。之后就会弹出如下界面:

4、点击添加,找到MathType的安装文件夹中下图所指文件,选中点击打开。

5、这时看到“模版和加载项”界面中出现我们刚刚所添加的文件。

6、最后点击确定后方可在WORD工具栏出现MathType功能按钮了,可以使用它编辑公式了。

电脑下载地址
